Analysis of bow-hair fibres
The bow hair is considered to be an essential component of the sound production in bowed string instrument playing. Despite of this there is hardly any literature dealing with the acoustic and mechanical properties of bow-hairs.
The purpose of this article is to show the broad range of various kinds of bow-hairs and their properties. For the study eight types of bow-fibres obtainable at most shops in Europe were chosen. Scanning electron microscopy was used to compare the profiles and surface structure. Mechanical tests demonstrate the differences in elasticity and strain rupture. Audio recordings made by exciting a string with an artificial bowing machine indicate that the surface structure have a negligible effect on the produced sound.
The origin of Bow-Hair
Bow hairs are taken from slaughtered horses living in a colder climate. This causes a slower rate of growth and less infestation by parasites, which means a smooth and homogeneous hair structure. After the sorting process (length from 64 cm up to 110 cm) only 10 percent of the raw material remains for the use with bows. Curled hairs are not suitable.
The hairs used in this project were purchased partly by Austrian instrument makers and partly at the German wholesale company Dick GmbH. They come from six countries: Canada, Argentina, China, Mongolia, Russia and Japan. Additionally blanched and black hairs with unknown origin were analysed.
The structure of hair
The structure of hairs in general is well described in the literature [Rocaboy, 1990; Sobottka, 2003]: the medulla in the centre and the cortex which is enveloped in the cuticle consisting of tightly packed fibrillar tapered plates built-up from keratin. As it can be seen in Figure 2 and 3 there is a large variety in the shape of these plates. This fact often misleads string players to the conclusion that the scalation has an important influence on the playing properties. In fact the stick-slip motion of the string is caused by the rosin. The bonding capacity between the hair surface and the rosin depends on the chemical properties of the cuticle and not on the shape of the plates.
Examination methods
Four methods where used:
- Standard microscopy: profile analysis and measurement of the eccentricity coefficient
- Scanning electron microscopy: structure and surface analysis
- Tensile tests: measurement of the mechanical properties
- Bowing test using a computer controlled bowing machine
Profile Analysis
Using a special tool, small samples with a length of ca. 5μm to 10μm, have been taken at three locations along the hair, close to the root, in the middle and close to the tip. The units under test were fixed with glue at a microscope slide. The microscope was featured with an ocular micrometer, where the physical length of the marks on the scale depends on the degree of magnification. By rotating the sample the major and minor axis (see Figure 1) is measured using the internal ruler.

Figure 1: Measurement of the major axis and minor axis of the hair profile
The data of Table 1 show the mean value of 3 to 5 samples for each region in micro meters: maj = major axis, min = minor axis. The eccentricity coefficient is calculated by HI = (min/maj)*100.
|
|
Chinese |
blanched |
Japanese |
Canadian |
||||||||
|
|
maj |
min |
HI |
maj |
min |
HI |
maj |
min |
HI |
maj |
min |
HI |
|
root |
188,1 |
181,2 |
96,3 |
262,4 |
212,9 |
81,1 |
265,3 |
195 |
73,5 |
239 |
216,4 |
90,5 |
|
middle |
213,8 |
196 |
91,7 |
250,2 |
216,2 |
86,4 |
247,5 |
186,1 |
75,2 |
273,6 |
215,8 |
78,9 |
|
tip |
209 |
184,8 |
88,4 |
247,2 |
227,7 |
92,1 |
233,2 |
182,6 |
78,3 |
222,3 |
203,4 |
91,5 |
|
|
Mongolian |
Russian |
black |
Argentinean |
||||||||
|
|
maj |
min |
HI |
maj |
min |
HI |
maj |
min |
HI |
maj |
min1 |
min2 |
|
root |
212,3 |
171,6 |
80,8 |
224 |
190,6 |
85,1 |
254,6 |
214,9 |
84,4 |
254,1 |
163,4 |
133,7 |
|
middle |
196,6 |
159,8 |
81,3 |
224,7 |
202 |
89,9 |
227,7 |
184,8 |
81,2 |
263,6 |
170,8 |
161,7 |
|
tip |
190,1 |
132,7 |
69,8 |
217 |
197,2 |
90,9 |
226,4 |
173,9 |
76,8 |
276,4 |
157,6 |
130,4 |
Table 1: Major and minor axis in μm and the eccentricity coefficient. Argentinean: Values of the major axis and the two minor axes [μm]
Due to the anomalous shape of the Argentinean horse-tail hair it was necessary to introduce a second minor axis. Figure 2 presents a photo of its typical profile. Because the cross section has a bean like shape, a calculation of the above mentioned eccentricity coefficient was not reasonable. This special shape has been observed at all cross section samples of the Argentinean hair. At first glance this shape could lead to the assumption, that the bean like profile is a side effect of cutting. As the Argentinean hair samples were treated in the same way as all other hair samples and no bean like cross section could be observed at any sample except the Argentinean hair samples, and based on scanning electron microscopy pictures with a minor magnification, we tend to take this profile as a special feature of the Argentinean hair.
|
Cross section (magnification: 250) |
SEM Photo (the bar right at the bottom equals the length of 100 μm) |
Figure 2: The special shape of the Argentinean hair
|
Chinese |
Japanese |
|
|
Mongolian |
Russian |
Figure 3: Cross sections of various bow hairs (magnification: 250).
Structure and surface analysis
For the structure and surface analysis the hair samples were sliced into two halves. At the point of cutting, segments of about 3 - 4 cm were taken. The samples were coated with a thin layer of gold using a sputter coater. A sputter coater is used to coat non-metallic samples to make them conductive and ready to be viewed by the Scanning Electron Microscopy (SEM).
|
Argentinean |
Chinese |
|
|
blanched |
Japanese |
|
|
Canadian |
Mongolian |
|
|
Russian |
black |
Figure 4: SEM close ups of all 8 hair types
(the bar right at the bottom equals the length of 10 μm)
Tensile Tests
Preparing the hairs for the tensile test, a careful treatment was needed. Every pinch-off or scratch would have led to a break at the damaged region and invalid measurement results. Before starting the mechanical test, the samples were stored 21 hours under constant temperature and humidity in a climate chamber.
|
Figure 5: The tensile testing machine |
Figure 6: Force – elongation diagram |
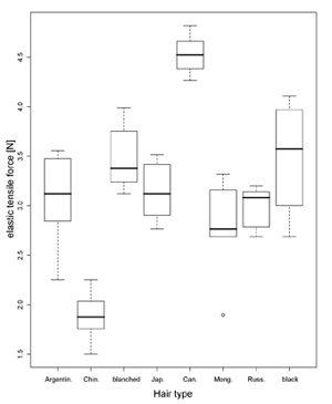
The tensile test setup consisted of a tensile testing machine (Figure 5), a controller and a plotter. The accuracy of measurement was specified with 0,01 N. One end of the hair sample was fixed and the other end was pulled with a velocity of 1 cm per minute. The plotter drew a graph with the x-axis equivalent to the elongation and the y-axis corresponding to the pulling force. Before the force reached the elastic tensile force point (see Figure 6) the deformation will be reversible. After exceeding this point, the mechanical structure of the hair is modified in an irreversible way, plastic deformation occurs. The test was finished when the hair was broken. This is indicated by the peak on the right side in the graph. The elastic tensile force, the tensile force at break and the corresponding value of elongation offers valuable clues to determine the mechanical properties of the hair fibre. The differences between the hair types can be observed at the box-plot in Figure 7. The average elongation coefficient (dl*100/l0) shows a variation of about 30% to 40% of the sample length l0. The bold horizontal line inside the boxes represents the median.
Figure 7: left: elastic tensile force, right: tensile force at break
Bowing test
To get comparable sound examples without any influence of the instrument or the player a common violin bow in combination with a computer controlled bowing machine, built by Wolfgang Vogel for the string manufactory Thomastik-Infeld was used. The bow has been especially modified to allow a quick change of the hair bundles. The bowing velocity was chosen with 12 cm/sec, the bowing length was 48 cm and the overall weight of the bow including the hair was kept constant with 40 gram. The string vibration (the machine is equipped with only one string, a = 440 Hz) was picked up by a piezo-electric transducer (Figure 8).

Figure 8: The Thomastik Infeld bowing machine
The RMS of the recorded sound samples with rosin showed no difference depending on the bowing direction - with one exception: the black hair differed by 1 dB. Additionally the RMS difference between the various hair types is only 1.5 dB (see Figure 9). The RMS values of the hair without rosin are primary determined by electronic noise and the stochastic noise caused by vibrations of the bowing machine.

Figure 9:RMS with and without rosin

Figure 10: By observing hairs with and without rosin,
it is clear that rosin sticks to the platelets on the surface of the hair.
Summary
Microscopic analysis and measurements of the cross section show large differences in both, the size and the shape of the investigated hairs. Scanning Electron Microscopy clearly points out the distinctions in the scalation. The tensile tests highlight a large variation in stiffness and expansibility which seems to be the most important parameter for the player.
Although the investigations pointed out partly large differences in the structural properties, playing tests with an artificial bowing machine emphasize the importance of rosin - the influence of the scalation and the size of the keratin plates had a rather marginal effect on the produced sound.
A short glance at bow hairs played for one year and a sample of the same bundle left in mint condition indicates that primary the decreasing elastic properties as an effect of the ageing process are relevant for the playing quality. The surface of the used hair samples show only few slightly damaged scales.
We thank Dr. Heide Marie Halbritter, Institute of Botany and Botanical Garden, University Vienna, for the expert help and advice concerning microscopy.
Puplication
Mayer, Alexander; Pöcherstorfer, Helga, and Widholm, Gregor (2007)
"Analysis of Bow-Hair Fibres,"
in Proceedings of the International Symposium on Musical Acoustics, ISMA 2007 (Barcelona, Spain).
Pöcherstorfer, H. (1994). Untersuchungen an Bogenhaaren, Schriftliche Hausarbeit,Institut für Wiener Klangstil, Universität für Musik und darstellende Kunst, Wien.

















